規劃背景
近年來,隨節能減排及環境保護壓力增大,國家及山東省政府相繼推出關閉燃煤鍋爐(機組)等減煤政策。為深入貫徹《大氣污染防治行動計劃》,切實改善生存環境和空氣質量,2018年8月,山東省人民政府印發《山東省冬季清潔取暖規劃(2018-2022年)》。本規劃的編制將進一步貫徹國家“節能減排、保護環境”的基本國策,解決清潔采暖用熱需求,并依據國家最新的節能、產業和環保政策,科學合理的指導清潔能源供暖項目的實施,有序推進清潔供暖項目落地。
指導思想
全面貫徹黨的十九大精神,以習近平新時代中國特色社會主義思想為指導,落實習近平總書記在中央財經領導小組第14次會議上的重要指示,按照黨中央、國務院決策部署,統籌推進“五位一體”總體布局,協調推進“四個全面”戰略布局,堅定不移貫徹創新、協調、綠色、開放、共享的發展理念,緊扣新時代我國社會主要矛盾變化,推動能源生產和消費革命、農村生活方式革命,以保障北方地區廣大群眾溫暖過冬、減少大氣污染為立足點,按照企業為主、政府推動、居民可承受的方針,宜氣則氣,宜電則電,盡可能利用清潔能源,加快提高清潔供暖比重,構建綠色、節約、高效、協調、適用的北方地區清潔供暖體系,為建設美麗中國作出貢獻。
規劃期限
以2017年作為基準年,規劃期限:2018~2022年;遠景展望:2023~2035年。
規劃區域
濟陽區域內除濟陽主城區以外的全部農村地區(城區以現濟陽城區以及濟北開發區為依托,東至黃河大壩,西至新的220國道,北至西八里莊,南至黃河大街。)分為三個類型進行規劃:新型農村社區、一般村莊及公共服務設施。
規劃人口
根據2012—2016年國民經濟和社會發展統計公報,對濟陽近五年人口進行合理預測。本規劃采用年均增長法進行人口預測,計算過程如下:
至2022年戶籍人口:P2022=P2016+(0.56×6)=61.26萬;
至2022年常住人口:P2022=P2016+(0.49×6)=57.24萬;
至2022年城鎮人口:P2022=P2016+(0.37×6)=13.94萬。
規劃目標
1、總體目標。
(1)2020年,35蒸噸及以下燃煤鍋爐全部拆除,農村地區新型農村社區建筑和公共建筑清潔取暖率達到100%,一般村莊清潔取暖率達到60%以上。
(2)2022年,農村地區清潔取暖率達到80%以上。
(3)2035年,農村地區清潔取暖率達到95%以上。
2、分項目標
(1)取暖戶數。2020年,濟陽農村地區清潔取暖50388戶,集中供熱取暖5660戶,天然氣取暖20122戶,電采暖18322戶,地熱井取暖6284戶;2022年,濟陽農村地區清潔取暖109869戶,集中供熱取暖10527戶,天然氣取暖44114戶,電采暖47908戶,地熱井取暖7320戶。
(2)用能結構。2020年,燃煤取暖面積占總取暖面積50%左右,工業余熱、天然氣、電能以及生物質等可再生能源取暖面積占比達到50%左右。2022年,燃煤取暖面積占總取暖面積30%左右,工業余熱、天然氣、電能和生物質能等可再生能源取暖面積占比達到70%左右。
(3)能效水平。2020年,供熱平均能耗下降到17千克標煤/平方米左右,新建建筑供熱平均能耗控制在14千克標煤/平方米左右。2022 年,供熱平均能耗下降到16千克標煤/平方米左右,新建建筑供熱平均能耗控制在13千克標煤/平方米左右。
(4)建筑節能。2020年,城鎮地區既有節能居住建筑占比80%,農村地區既有節能居住建筑占比50%。2022年,城鎮地區既有節能居住建筑占比90%,農村地區既有節能居住建筑占比70%。
(5)三網建設。2022年,各集中供熱熱源管網基本配套完善,積極推進天然氣供應向村鎮延伸覆蓋,農村電網基本改造完成。
清潔供暖規劃
清潔能源供暖利用目標
1、天然氣
到2020年,累計天然氣取暖面積160萬平方米,新增取暖天然氣用量2700萬立方米左右。
到2022年,累計天然氣取暖面積350萬平方米,新增取暖天然氣用量5300萬立方米左右。
2、電能
到2020年,累計電能取暖面積180萬平方米,新增取暖電量0.22億千瓦時左右。
到2022年,累計電能取暖面積380萬平方米,新增取暖電量0.48億千瓦時左右。
3、地熱能
到2020年,地熱能熱取暖面積達45萬平方米。
到2022年,地熱能熱取暖面積達55萬平方米。
清潔供暖方式確定
濟陽農村地區冬季清潔供暖能源的種類主要為電能、燃氣、工業余熱、生物質及地熱;冬季清潔供暖的方式主要為熱電聯產(超潔凈排放)、大型區域鍋爐房(超潔凈排放)、空氣源熱泵、直熱式電取暖設備、蓄熱式電取暖設備、燃氣壁掛爐及地源熱泵。
1、多層建筑及公共建筑
集中供熱管網能覆蓋的區域,考慮集中供熱熱源;
現狀有工業余熱的,利用工業余熱集中供暖;
不具備上述條件的優先采用空氣源熱泵及燃氣壁掛爐等方式采暖。
2、新型農村社區
優先采用空氣源熱泵、燃氣鍋爐等集中方式采暖。
3、平房居住建筑
優先使用空氣源熱泵、燃氣壁掛爐等分散方式采暖,偏遠村莊可考慮直熱式電取暖設備等分散方式采暖。
集中供暖熱源規劃
華能濟陽生物質熱電聯產
華能濟陽生物質熱電聯產位于濟陽太平鎮鄺家村西側1km,規劃建設1臺130t/h 燃用生物質燃料的高溫高壓鍋爐,配1臺30MW 抽凝式汽輪發電機組,年消耗秸稈約23.86萬噸。冬季采用汽輪機凝汽器低真空運行、熱網循環水直接供暖,該熱源將作為太平街道規劃集中供熱主力熱源,以及濟陽城區西部的補充熱源。
分散熱源規劃
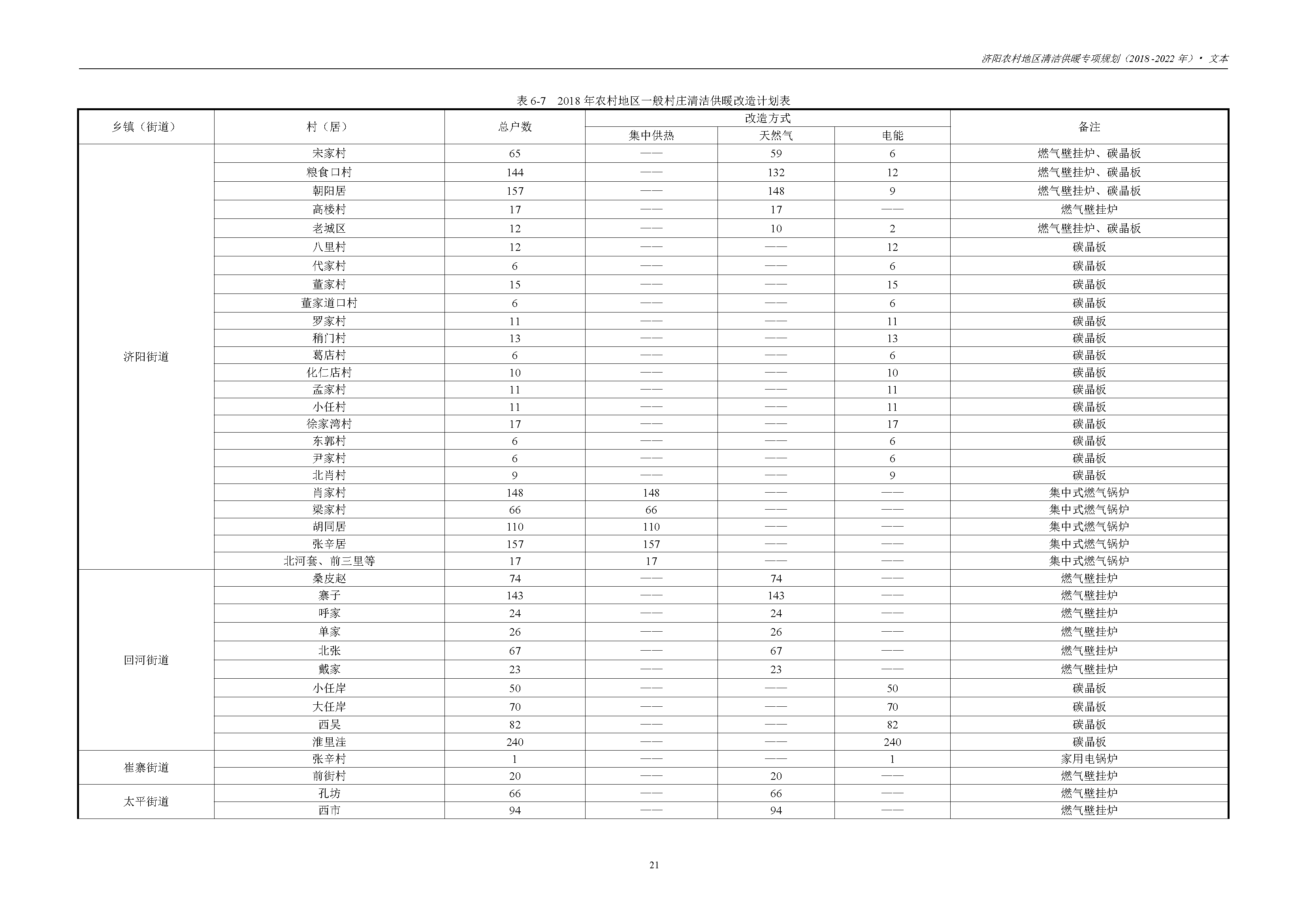
農村地區分散熱源規劃主要分為三個層次,分別為新型農村社區、公共服務設施建筑及一般村莊。
1、新型農村社區
(1)濟陽街道
大鄺社區規劃2018年接入天然氣,至2020年,采用燃氣鍋爐集中式供暖共計542戶,熱負荷約2.78MW,共需燃氣鍋爐噸位為3t/h;至2022年,該社區后續合并村莊,規劃采用集中供熱形式供暖,共計1182戶,熱負荷約6.0MW;
茍王社區規劃2018年接入天然氣,至2020年,采用燃氣鍋爐集中式供暖共計448戶,熱負荷約2.37MW,共需燃氣鍋爐噸位3.0t/h;至2022年,該社區后續合并村莊,規劃采用集中供熱形式供暖,共計1589戶,熱負荷約7.0MW;另外,規劃濟陽協鑫燃機熱電聯產項目投產后,大鄺社區、茍王社區將利用此熱源,統一進行集中供熱,前期規劃采用的燃氣鍋爐不再使用。
(2)回河街道
張廟社區2017年已進行“氣代煤”改造,共計48戶,采用燃氣壁掛爐形式供暖,熱負荷約0.36MW,采暖耗氣量約5.76萬m3;
新河社區2017年已進行“氣代煤”改造,共計138戶,采用燃氣壁掛爐形式供暖,熱負荷約0.84MW,采暖耗氣量約16.6萬m3;
新莊社區現狀接入城區集中供熱管網,共計610戶,熱負荷約3.24MW。
王佰緒社區規劃2018年接入城區集中供熱管網,共計571戶,熱負荷約3.04MW。
回河社區規劃2019年接入天然氣,共計887戶,采用燃氣鍋爐形式供暖,熱負荷約4.25MW,共需燃氣鍋爐噸位為5t/h。
盧家社區規劃2019年接入天然氣,共計466戶,采用燃氣鍋爐形式供暖,熱負荷約2.17MW,共需燃氣鍋爐噸位為3t/h。
雙柳社區規劃2020年采用空氣源熱泵集中式形式供暖,共計819戶,熱負荷約4.81MW;
5.29MW,采暖耗氣量約125.28萬m3;
東市社區規劃2022年采用空氣源熱泵供暖,共計1288戶,熱負荷約6.52MW;
魯家社區規劃2022年采用空氣源熱泵供暖,共計765戶,熱負荷約3.88MW;
東梁社區規劃2022年采用空氣源熱泵供暖,共計923戶,熱負荷約4.68MW;
(6)新市鎮
王堿場社區2017年已進行“氣代煤”改造,共計120戶,采用燃氣壁掛爐形式供暖,熱負荷約0.90MW,采暖耗氣量約14.4萬m3;至2020年,該社區后續合并村莊,規劃采用燃氣壁掛爐形式供暖,共計117戶,熱負荷約0.88MW,采暖耗氣量約14.04萬m3;
王家社區規劃2018年采用空氣源熱泵集中式供暖,共計881戶,熱負荷約6.63MW;
薛坊社區規劃2018年采用空氣源熱泵集中式供暖,共計653戶,熱負荷約3.30MW;
付家社區規劃2018年利用深井水地熱(回灌)供暖,共計852戶,熱負荷約6.42MW。
大莊社區規劃2020年采用空氣源熱泵集中式供暖,共計1771戶,熱負荷約8.51MW;
江店社區規劃2021年采用空氣源熱泵供暖,共計1327戶,熱負荷約6.72MW;
鄭橋社區規劃2021年采用空氣源熱泵供暖,共計1064戶,熱負荷約5.39MW;
小圈社區規劃2022年采用空氣源熱泵供暖,共計869戶,熱負荷約4.40MW;
張寨社區規劃2022年接入天然氣,共計849戶,采用燃氣壁掛爐形式供暖,熱負荷約4.30MW,采暖耗氣量約125.28萬m3;
(7)垛石鎮
白楊店社區規劃2018年接入天然氣,共計1072戶,采用燃氣鍋爐形式取暖,熱負荷約6.79MW,共需燃氣鍋爐噸位為8t/h;
商橋社區規劃2019年采用空氣源熱泵集中式供暖,共計1665 戶,熱負荷約12.53MW;
索廟社區規劃2020年接入天然氣,共計2750戶,采用燃氣鍋爐形式取暖,熱負荷約14.15MW,共需燃氣鍋爐噸位為17t/h。
垛石社區規劃2021年接入天然氣,共計2263戶,采用燃氣壁掛爐形式供暖,熱負荷約11.47MW,采暖耗氣量約271.53萬m3;
大楊社區規劃2021年接入天然氣,共計1307戶,采用燃氣壁掛爐形式供暖,熱負荷約6.62MW,采暖耗氣量約156.78萬m3;
碼頭社區規劃2021年采用空氣源熱泵供暖,共計801戶,熱負荷約4.06MW;
布家社區規劃2021年采用空氣源熱泵供暖,共計872戶,熱負荷約4.42MW;
孫家社區規劃2022年接入天然氣,共計1036戶,采用燃氣壁掛爐形式供暖,熱負荷約5.25MW,采暖耗氣量約124.29萬m3;
唐廟社區規劃2022年采用空氣源熱泵供暖,共計1424戶,熱負荷約7.21MW;
前樓社區規劃2022年采用空氣源熱泵供暖,共計1248戶,熱負荷約6.32MW;
太平社區規劃2022年采用空氣源熱泵供暖,共計1046戶,熱負荷約5.30MW;
宋家社區規劃2022年采用空氣源熱泵供暖,共計1122戶,熱負荷約5.68MW;
(8)曲堤鎮
西魏社區規劃2018年采用空氣源熱泵集中式供暖,共計828戶,熱負荷約6.23MW;
柳家社區規劃2018年采用空氣源熱泵集中式供暖,共計1289戶,熱負荷約7.36MW;
大柳樹社區規劃2020年采用空氣源熱泵集中式供暖,共計690戶,熱負荷約3.94MW;
曲堤社區規劃2021年接入天然氣,共計4372戶,采用燃氣壁掛爐形式供暖,熱負荷約22.15MW,采暖耗氣量約524.61萬m3;
姚集社區規劃2021年采用空氣源熱泵供暖,共計1089戶,熱負荷約5.52MW;
劉臺社區規劃2021年采用空氣源熱泵供暖,共計689戶,熱負荷約3.49MW;
大奎社區規劃2022年接入天然氣,共計1040戶,采用燃氣壁掛爐形式供暖,熱負荷約5.27MW,采暖耗氣量約124.83萬m3;
畢集社區規劃2022年采用空氣源熱泵供暖,共計1072戶,熱負荷約5.43MW;
霍家社區規劃2022年采用空氣源熱泵供暖,共計1046戶,熱負荷約5.30MW;
三教社區規劃2022年采用空氣源熱泵供暖,共計1041戶,熱負荷約5.27MW;
王大來社區規劃2022年采用空氣源熱泵供暖,共計868戶,熱負荷約4.40MW;
尹家社區規劃2022年采用空氣源熱泵供暖,共計1033戶,熱負荷約5.23MW;
(9)仁風鎮
王圈社區規劃2019年采用空氣源熱泵集中式供暖,共計3132戶,熱負荷約17.43MW。
仁風社區規劃2020年利用深井水地熱(回灌)供暖,共計3777戶,熱負荷約19.15MW;
張家社區規劃2021年接入天然氣,共計1371戶,采用燃氣壁掛爐形式供暖,熱負荷約6.95MW,采暖耗氣量約164.52萬m3;
高家社區規劃2021年采用空氣源熱泵供暖,共計1671戶,熱負荷約8.47MW;
王讓社區規劃2022年接入天然氣,共計1689戶,采用燃氣壁掛爐形式供暖,熱負荷約8.56MW,采暖耗氣量約202.68萬m3;
盧蘭社區規劃2022年采用空氣源熱泵供暖,共計1042戶,熱負荷約5.28MW;
桑渡社區規劃2022年采用空氣源熱泵供暖,共計965戶,熱負荷約4.89MW;
2、公共建筑
公共服務設施建筑類型按使用功能主要分為四類:鎮政府、便民服務中心等辦公類建筑;幼兒園、中小學等教育類建筑;鎮中心醫院、衛生室等醫療類建筑;敬老院等福利類建筑。濟陽街道、回河街道、崔寨街道、孫耿街道、太平街道、新市鎮、垛石鎮、曲堤鎮、仁風鎮的全部村辦公室、村衛生室、村小學、村幼兒園取暖以分散空氣源熱泵為主。濟陽街道、太平街道、孫耿街道駐地辦公類建筑、教育類建筑、醫療類建筑、福利類建筑取暖以集中供熱為主,濟陽街道接城區集中供熱管網,太平街道以華能濟陽生物質熱電聯產作為集中熱源,孫耿街道以華能濟北燃氣-蒸汽聯合循環熱電聯產作為集中熱源。回河街道、崔寨街道、新市鎮、垛石鎮、曲堤鎮、仁風鎮駐地辦公類建筑、教育類建筑以電極式蓄熱鍋爐為主,地熱為輔,醫療類建筑、福利類建筑取暖以區域空氣源熱泵集中式為主,地熱為輔。
建筑節能改造目標
1、新建建筑嚴格執行節能建筑標準。嚴格執行新建居住建筑節能75%和公共建筑節能65%的設計標準。加強對新建建筑尤其公共建筑在規劃、設計、施工及驗收各個環節的節能監管。
2、提升區域內既有建筑的節能水平。在條件適宜的地區推行政府引導、企業為主、居民參與的節能改造模式,對既有建筑按照節能65%標準或綠色建筑標準實施節能改造。將區域建筑節能改造與舊城功能優化工作相結合,在棚戶區和城中村改造、“三供一業”分離移交家屬區和老舊小區綜合整治過程中,同步推進建筑節能改造。加快公共建筑節能改造工作,重點針對醫院、學校等公共服務設施,進一步健全和完善公共建筑能耗審計和能耗信息公示制度。
3、積極推進農村地區建筑節能。新建農村公共服務設施和農村新型社區要統籌安排建筑與取暖設施建設,做到同步設計、同步施工、同步投入使用,按照建筑節能設計標準進行設計施工,推廣外墻屋頂保溫和隔熱斷橋中空玻璃門窗等新型墻材,提高建筑冬季節能保溫效果。新改建農房的建筑形體和平立面要充分考慮氣候條件,通過建設戶外連廊等方式,最大程度增強農房保溫功能。推廣農房和太陽能一體化設計方案和施工圖集,通過建造被動式太陽房、太陽能取暖系統等方式充分利用太陽能。結合當地農民的生活習慣,推廣使用節能型灶連炕。對已建農村公共服務設施和農戶住宅,采用外墻保溫、封廈+后窗改造等方式進行建筑圍護結構節能保溫改造,降低建筑物熱耗,改善保溫節能效果。
建筑節能改造時序
建筑節能改造規劃分區域、分層次和分階段發展。具體實施計劃如下:
(1)2019年前,城鎮地區既有節能居住建筑占比50%,農村地區既有節能居住建筑占比30%。
(2)2020年前,城鎮地區既有節能居住建筑占比80%,農村地區既有節能居住建筑占比50%;供熱平均能耗下降到17千克標煤/平方米左右,新建建筑供熱平均能耗控制在14千克標煤/平方米左右。
(3)2021年前,城鎮地區既有節能居住建筑占比85%,農村地區既有節能居住建筑占比60%。
(4)2022年前,城鎮地區既有節能居住建筑占比90%,農村地區既有節能居住建筑占比70%;供熱平均能耗下降到16千克標煤/平方米左右,新建建筑供熱平均能耗控制在13千克標煤/平方米左右。












山東省濟南市濟陽區政府
2019年3月11日
掃碼申請加入
農村清潔取暖賦能交流群